题目内容

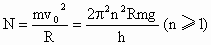
如图所示,竖直圆筒内壁光滑,半径为R,顶部有入口A,在A的正下方h处有出口B.一质量为m的小球从入口A沿切线方向水平射入圆筒内,要使小球从B处飞出,小球进入人口A的速度应满足什么条件?在运动过程中小球对筒的压力有多大?

答案:略
解析:

小球的运动尽竖直向上的自由落体运动和水平面内的匀速直线运动的合运动.由有∶,设小球在水平面内转过了n(n1),则,即;筒对球的压力提供了向心力,即∶,根据牛顿第三定律,得小球对筒的压力为


练习册系列答案
相关题目

违法和不良信息举报电话:027-86699610 举报邮箱:58377363@163.com

精英家教网