题目内容
2007年10月24日,“嫦娥一号”探月卫星发射成功,实现了中华民族千年的奔月梦想.2007年11月5日,“嫦娥一号”探月卫星变轨成功,开始绕月球做匀速圆周运动.已知探月卫星距月球表面的高度为h,绕月球做匀速圆周运动的周期为T,月球的半径为R,引力常量为G,忽略其他天体对探月卫星的引力作用.试求:(1)探月卫星线速度的大小
(2)月球第一宇宙速度的大小.
【答案】分析:(1)根据圆周运动的知识
求出探月卫星线速度的大小
(2)月球第一宇宙速度是靠近月球的环绕速度,由万有引力提供向心力求解.
解答:解:已知月球的半径为R,卫星距月球表面的高度为h,匀速圆周运动的周期为T,引力常量为G.
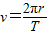
(1)设探月卫星线速度的大小为υ1
由匀速圆周运动
…(1)
有υ1=
…(2)
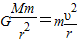
(2)设月球第一宇宙速度为υ2
由
…(3)
有
…(4)
由探月卫星绕月球做匀速圆周运动有
…(5)
(4)式与(5)式相比,有

答:(1)探月卫星线速度的大小是
(2)月球第一宇宙速度的大小是
.
点评:能正确根据卫星运动时的向心力由万有引力提供列出等式求解,第一宇宙速度也是近星的环绕速度.
(2)月球第一宇宙速度是靠近月球的环绕速度,由万有引力提供向心力求解.
解答:解:已知月球的半径为R,卫星距月球表面的高度为h,匀速圆周运动的周期为T,引力常量为G.
(1)设探月卫星线速度的大小为υ1
由匀速圆周运动
有υ1=
(2)设月球第一宇宙速度为υ2
由
有
由探月卫星绕月球做匀速圆周运动有
(4)式与(5)式相比,有
答:(1)探月卫星线速度的大小是
(2)月球第一宇宙速度的大小是
点评:能正确根据卫星运动时的向心力由万有引力提供列出等式求解,第一宇宙速度也是近星的环绕速度.
练习册系列答案
相关题目