ÌâÄ¿ÄÚÈÝ

2012Äê9ÔÂ25ÈÕ£¬Öйúº½Ä¸¡°ÁÉÄþ½¢¡±Õýʽ½»¸¶º£¾ü£¬Õ⽫¼«´óÌá¸ßÎÒÃÇÖйúº£¾üµÄÕûÌå×÷սʵÁ¦¡£ÈçͼËùʾÊÇ¡°¼ß¡ª15·É»ú¡±ÔÚº½Ä¸¡°ÁÉÄþ½¢¡±ÉÏµÄÆð½µÊ¾Òâͼ¡£ÒÑÖª¡°¼ß¡ª15·É»ú¡±µÄÖÊÁ¿Îªm£¬ËüµÄ·¢¶¯»ú¶î¶¨¹¦Âʺ㶨£¬Æð·ÉǰÔÚº½Ä¸ÉÏÔ˶¯¹ý³ÌÖÐËùÊܵÄĦ²Á×èÁ¦ÎªºãÁ¦¡£¡°¼ß¡ª15·É»ú¡±ÒԶ¹¦ÂÊ´Ó¾²Ö¹¿ªÊ¼Ñغ½Ä¸×öÖ±ÏßÔ˶¯£¬µ½º½Ä¸Ò»¶ËºóÆð·É¡£Éè¡°¼ß¡ª15·É»ú¡±¾­¹ýʱ¼ätÔ˶¯ÁËÎ»ÒÆsʱ£¬ËÙ¶È´ïµ½×î´óÖµv£¬´Ëʱ¸ÕºÃÀ뿪º½Ä¸Æð·É¡£Ôò¡°¼ß¡ª15·É»ú¡±·¢¶¯»úÔÚº½Ä¸ÉÏÔ˶¯¹ý³ÌËù×öµÄ¹¦Îª

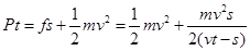
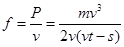
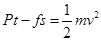
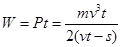
A£®         B£®

C£®       D£®

 

¡¾´ð°¸¡¿

  AC

¡¾½âÎö¡¿

ÊÔÌâ·ÖÎö£º·É»úÒԶ¹¦ÂÊ´Ó¾²Ö¹¿ªÊ¼Ñغ½Ä¸×öÖ±ÏßÔ˶¯£¬Óɶ¯Äܶ¨ÀíµÃ£¬ËÙ¶È´ïµ½×î´óÖµvʱ£¬ÎïÌåËùÊܺÏÍâÁ¦ÎªÁ㣬ËùÒÔ£¬½âµÃ£¬´øÈëµÃ£¬ËùÒÔ·¢¶¯»úÔÚº½Ä¸ÉÏÔ˶¯¹ý³ÌËù×öµÄ¹¦Îª£¬ÓÖÒòΪ£¬ËùÒÔA¡¢CÑ¡ÏîÕýÈ·¡£

¿¼µã£º¶î¶¨¹¦ÂÊ ¶¯Äܶ¨Àí

 

Á·Ï°²áϵÁдð°¸
Ïà¹ØÌâÄ¿

Î¥·¨ºÍ²»Á¼ÐÅÏ¢¾Ù±¨µç»°£º027-86699610 ¾Ù±¨ÓÊÏ䣺58377363@163.com

¾«Ó¢¼Ò½ÌÍø