题目内容
如图所示,矩形区域MNPQ内有水平向右的匀强电场;在y≥0的区域内还存在垂直于坐标平面向里的匀强磁场,磁感应强度大小为B.半径为R的光滑绝缘空心半圆细管ADO固定在竖直平面内,半圆管的一半处于电场中,圆心O1为MN的中点,直径AO垂直于水平虚线MN.一质量为m、电荷量为q的带正电小球(可视为质点)从圆管的A点由静止滑入管内,从O点穿出后恰好通过O点正下方的C点.已知重力加速度为g,电场强度的大小E=(1)小球到达O点前一时刻,圆管对它作用力的大小;
(2)矩形区域MNPQ的高度H和宽度L应满足的条件;
(3)从O点开始计时,经过多长时间小球的动能最小?
【答案】分析:(1)小球从A到O的过程,运用动能定理求得O点速度,到达O点前一时刻,根据牛顿第二定律求得作用力.
(2)小球从O到C 的过程中,水平方向做匀减速运动,竖直方向做自由落体运动,运用运动的合成与分解,把加速度分解,分别在水平方向上和竖直方向上求位移.
(3)当F合与速度v的方向垂直时,小球的动能最小,把运动分解到水平方向上和竖直方向上求解时间.
解答:解:(1)小球从A到O的过程,由动能定理得

到达O点前一时刻,根据牛顿第二定律
圆管对小球的作用力
(2)小球从O到C 的过程中,水平方向做匀减速运动,竖直方向做自由落体运动

ay=g
设向左减速时间为t

水平位移大小
竖直位移大小
高度满足条件
宽度应满足
(3)当F合与速度v的方向垂直时,小球的动能最小,
设经过的时间为t

,
vy=vxcotθ;
可解得
法二:


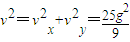
当
时,函数v2有最小值,动能有最小值.
答:(1)小球到达O点前一时刻,圆管对它作用力的大小为
.
(2)矩形区域MNPQ的高度H满足的条件为
;宽度L应满足的条件为
.
(3)从O点开始计时,经过
,小球的动能最小.
点评:运用动能定理解题需合适地选取研究的过程,根据动能定理列出表达式求解.此题有一定的难度,属于中档题.
(2)小球从O到C 的过程中,水平方向做匀减速运动,竖直方向做自由落体运动,运用运动的合成与分解,把加速度分解,分别在水平方向上和竖直方向上求位移.
(3)当F合与速度v的方向垂直时,小球的动能最小,把运动分解到水平方向上和竖直方向上求解时间.
解答:解:(1)小球从A到O的过程,由动能定理得
到达O点前一时刻,根据牛顿第二定律
圆管对小球的作用力
(2)小球从O到C 的过程中,水平方向做匀减速运动,竖直方向做自由落体运动
ay=g
设向左减速时间为t
水平位移大小
竖直位移大小
高度满足条件
宽度应满足
(3)当F合与速度v的方向垂直时,小球的动能最小,
设经过的时间为t
vy=vxcotθ;
可解得
法二:
当
答:(1)小球到达O点前一时刻,圆管对它作用力的大小为
(2)矩形区域MNPQ的高度H满足的条件为
(3)从O点开始计时,经过
点评:运用动能定理解题需合适地选取研究的过程,根据动能定理列出表达式求解.此题有一定的难度,属于中档题.
练习册系列答案
相关题目