题目内容

如图所示,在边长为a的等边三角形bcd所围区域内有磁感应强度为B方向垂直纸面向内的匀强磁场,某时刻静止在b点处的原子核X发生α衰变,α粒子沿bc方向射入磁场,经磁场偏转后恰好在d点沿cd方向射出.已知α粒子质量为m,电量为2e,剩余核的质量为M,衰变过程的核能全部转化为动能,求原子核X的质量MX

答案:
解析:

  由题意画出粒子在磁场中运动轨迹如图所示,由几何关系;运动半径:

  

  在磁场中,对粒子:

  

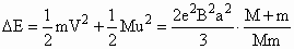
  衰变过程中动量守恒:

  

  衰变过程中释放的能量:

  

  由爱因斯坦质能方程:

  原子核X的质量为:


练习册系列答案
相关题目

违法和不良信息举报电话:027-86699610 举报邮箱:58377363@163.com

精英家教网