题目内容

一轻质细绳一端系一质量为的小球A,另一端挂在光滑水平轴O 上,O到小球的距离为L=0.1m,小球跟水平面接触,但无相互作用,在球的两侧等距离处分别固定一个光滑的斜面和一个挡板,如图所示,水平距离s为2m,动摩擦因数为0.25.现有一小滑块B,质量也为m,从斜面上滑下,与小球碰撞时交换速度,与挡板碰撞不损失机械能.若不计空气阻力,并将滑块和小球都视为质点,g取10m/s2,试问:

(1)若滑块B从斜面某一高度h处滑下与小球第一次碰撞后,使小球恰好在竖直平面内做圆周运动,求此高度h.

(2)若滑块B从h=5m处滑下,求滑块B与小球第一次碰后瞬间绳子对小球的拉力.

(3)若滑块B从h=5m 处下滑与小球碰撞后,小球在竖直平面内做圆周运动,求小球做完整圆周运动的次数n.

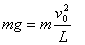
(1)小球刚能完成一次完整的圆周运动,它到最高点的速度为v0,在最高点,仅有重力充当向心力,则有

                  (1分)                ①

 在小球从h处运动到最高点的过程中,机械能守恒,则有ks5u

       (2分)           ②

     解上式有h=0.5m      (1分)

(2)若滑块从=5m处下滑到将要与小球碰撞时速度为,则有

                     ③   (2分)

     滑块与小球碰后的瞬间,同理滑块静止,小球以的速度开始作圆周运动,绳的拉力T和重力的合力充当向心力,则有    (1分)   ④  

解④式得T=48N     (1分)

(3)滑块和小球第一次碰撞后,每在平面上经s路程后再次碰撞,则        

 (2分)                       

         解得,n=10次      (2分)

练习册系列答案
相关题目

违法和不良信息举报电话:027-86699610 举报邮箱:58377363@163.com

精英家教网