题目内容
质量为m的汽车沿平直公路加速行驶,当汽车的速度为
时,汽车立即以不变的功率P继续加速行驶,经过距离s速度达到最大值
,设汽车行驶过程中受到的阻力始终不变.求汽车的速度从
增至
的过程中所经历的时间?
答案:
解析:
解析:
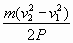
|
t= |
练习册系列答案
相关题目
题目内容
质量为m的汽车沿平直公路加速行驶,当汽车的速度为
时,汽车立即以不变的功率P继续加速行驶,经过距离s速度达到最大值
,设汽车行驶过程中受到的阻力始终不变.求汽车的速度从
增至
的过程中所经历的时间?
|
t= |