题目内容
质量为m的汽车沿平直公路行驶,当它的加速度为a时,速度为v,此时发动机的实际功率为P。设汽车运动中所受阻力恒定,发动机的额定功率为Pm,则它在平直公路匀速行驶的最大速度是 。
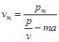
【答案】
![]()
【解析】
试题分析:根据牛顿运动定律:
,当汽车行驶速度最大时,
,联立解得:
![]()
考点:考查了汽车的启动问题
练习册系列答案
相关题目
题目内容
质量为m的汽车沿平直公路行驶,当它的加速度为a时,速度为v,此时发动机的实际功率为P。设汽车运动中所受阻力恒定,发动机的额定功率为Pm,则它在平直公路匀速行驶的最大速度是 。
![]()
【解析】
试题分析:根据牛顿运动定律:
,当汽车行驶速度最大时,
,联立解得:
![]()
考点:考查了汽车的启动问题