题目内容
两颗人造卫星A、B绕地球做圆周运动,周期之比为TA:TB=1:8,则轨道半径之比为 ,运动速率之比为 .
【答案】分析:人造卫星绕地球做圆周运动受到的万有引力提供向心力,分别用周期、速率来表示向心力,化简公式即可求解结果.
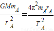
解答:解:人造卫星绕地球做圆周运动受到的万有引力提供向心力,对A卫星有:
,
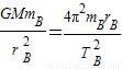
对B卫星有:
,
化简得:
;
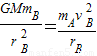
用速度表示向心力,对A卫星有:
,
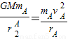
对B卫星有:
,
化简得:
,
故答案为:1:4,2:1.
点评:对于卫星问题一定掌握:万有引力提供向心力,可以用卫星的速度、周期、角速度来分别表示向心力,从而求出结果.
解答:解:人造卫星绕地球做圆周运动受到的万有引力提供向心力,对A卫星有:
对B卫星有:
化简得:
用速度表示向心力,对A卫星有:
对B卫星有:
化简得:
故答案为:1:4,2:1.
点评:对于卫星问题一定掌握:万有引力提供向心力,可以用卫星的速度、周期、角速度来分别表示向心力,从而求出结果.
练习册系列答案
相关题目
两颗人造卫星A、B绕地球做圆周运动,周期之比为T1:T2=8:1,则它们的轨道半径之比和运行速率之比分别为( )
| A、R1:R2=4:1,v1:v2=1:2 | B、R1:R2=1:4,v1:v2=2:l | C、R1:R2=1:4,v1:v2=1:2 | D、R1:R2=4:1,v1:v2=2:1 |