题目内容
回旋加速器的工作原理如图所示,置于高真空中的D形金属盒半径为R,两盒间的狭缝很小,带电粒子穿过的时间可以忽略不计.磁感应强度为B的匀强磁场与盒面垂直.A处粒子源产生的粒子,质量为m、电荷量为+q,在加速器中被加速,加速电压为U.设粒子初速度为零,加速过程中不考虑相对论效应和重力作用(1)求粒子能获得的最大动能Ekm
(2)求粒子从静止开始加速到出口处所需的时间t.
【答案】分析:(1)当粒子从回旋加速器出来时,速度最大.根据
求出最大速度,再根据
求出最大动能.
(2)粒子被电场加速一次动能的增加qU,根据最大动能求出加速的次数,粒子在磁场中运动一个周期被加速两次,从而知道粒子运动的周期次数,从而求出运动的时间.
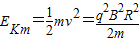
解答:解:(1)根据
得,v=
则最大动能
.
(2)粒子被电场加速一次动能的增加qU
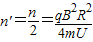
则粒子被加速的次数n=
=
粒子在磁场中运动周期的次数
T=
则粒子从静止开始到出口处所需的时间t=n′T=
.
点评:解决本题的关键知道粒子出回旋加速器时速度最大,根据
可求出最大速度.以及知道粒子在磁场中运动的周期和交流电变化的周期相等.
(2)粒子被电场加速一次动能的增加qU,根据最大动能求出加速的次数,粒子在磁场中运动一个周期被加速两次,从而知道粒子运动的周期次数,从而求出运动的时间.
解答:解:(1)根据
则最大动能
(2)粒子被电场加速一次动能的增加qU
则粒子被加速的次数n=
粒子在磁场中运动周期的次数
T=
则粒子从静止开始到出口处所需的时间t=n′T=
点评:解决本题的关键知道粒子出回旋加速器时速度最大,根据
练习册系列答案
相关题目