题目内容

如图所示为一皮带传动装置,右轮的半径为r,A是它边缘上的一点.左侧是一轮轴,大轮的半径为4r,小轮的半径为2r,B、C两点分别在大轮和小轮的边缘上.在传动过程中皮带不打滑,则

A.A、C两点的线速度大小相同.

B.B、C两点的角速度大小相同.

C.A、C两点的向心加速度大小相同.

D.A、B两点的向心加速度大小相同.

 

【答案】

ABD

【解析】

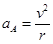
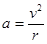
试题分析:A、C两点是通过皮带传动的轮子边缘上的两点,所以线速度大小相同,根据则 A、C两点的向心加速度大小不同;B、C两点是同轴转动,所以角速度大小相同;设A点的线速度为v,则C点的线速度也为v,B点的线速度为2v,根据,所以A、B两点的向心加速度大小相同。选项ABD正确。

考点:线速度、角速度及向心加速度。

 

练习册系列答案
相关题目

违法和不良信息举报电话:027-86699610 举报邮箱:58377363@163.com

精英家教网