题目内容

在水平地面上有一质量为2 kg的物体,物体在水平拉力F的作用下由静止开始运动,10 s后拉力大小减为,该物体的运动速度随时间变化的图像如图所示,求:

(1)物体受到的拉力F的大小;

(2)物体与地面之间的动摩擦因数(g取10 m/s2).

答案:
解析:

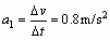
  在0~10 s内,物体的加速度(正向)

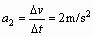
  在10~14 s内,物体的加速度(反向)

  由牛顿第二定律  ①

    ②

  由此解得F=8.4 N  =0.34


练习册系列答案
相关题目

违法和不良信息举报电话:027-86699610 举报邮箱:58377363@163.com

精英家教网