题目内容
如图甲所示,一半径R=1.4m、圆心角等于143°的竖直圆弧形光滑轨道,与斜面相切于B处,圆弧轨道的最高点为M,斜面倾角θ=37°,t=0时刻有一物块沿斜面上滑,其在斜面上运动的速度变化规律如图乙所示.若物块恰能达到M点,(取g=10m/s2,sin37°=0.6,cos37°=0.8),求:(1)物块经过B点时的速度vB;
(2)物块与斜面间的动摩擦因数μ;
(3)AB间的距离x.
【答案】分析:(1)根据牛顿第二定律,与动能定理结合,即可求解;
(2)由图可知,加速度的大小,再根据牛顿第二定律,则可求出动摩擦因数;
(3)根据运动学公式可求出位移的大小.
解答:解:(1)设物体的质量为m,由于物体恰能到达M点,
则在M点有
物体从B到M点的过程,
由动能定理有:
,
联立以上两式可得,
(2)由v-t图可知,物体在从A到B点的运动过程中的加速度为a=10m/s2
由牛顿第二定律有,-(mgsin37°+μmgcos37°)=ma
物体与斜面间的动摩擦因数为
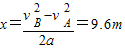
(3)物体在从A到B的运动过程中,
初速度vA=16m/s,
由运动学公式
解得:
答:(1)物块经过B点时的速度8m/s;
(2)物块与斜面间的动摩擦因数0.5;
(3)AB间的距离9.6m.
点评:考查牛顿第二定律、动能定理、向心力公式与运动学公式等理解与掌握,同时学会由图象来求加速度的大小.
(2)由图可知,加速度的大小,再根据牛顿第二定律,则可求出动摩擦因数;
(3)根据运动学公式可求出位移的大小.
解答:解:(1)设物体的质量为m,由于物体恰能到达M点,
则在M点有
物体从B到M点的过程,
由动能定理有:
联立以上两式可得,
(2)由v-t图可知,物体在从A到B点的运动过程中的加速度为a=10m/s2
由牛顿第二定律有,-(mgsin37°+μmgcos37°)=ma
物体与斜面间的动摩擦因数为
(3)物体在从A到B的运动过程中,
初速度vA=16m/s,
由运动学公式
解得:
答:(1)物块经过B点时的速度8m/s;
(2)物块与斜面间的动摩擦因数0.5;
(3)AB间的距离9.6m.
点评:考查牛顿第二定律、动能定理、向心力公式与运动学公式等理解与掌握,同时学会由图象来求加速度的大小.
练习册系列答案
相关题目