题目内容

图甲为一段粗细均匀的新型导电材料棒,现测量该材料的电阻率.

1.首先用多用电表的欧姆挡(倍率为×10)粗测其电阻,指针位置如图乙所示,其读数R=________Ω.用螺旋测微器测量金属导线的直径,其示数如图丙所示,该金属导线的直径为________ cm

2.然后用以下器材用伏安法尽可能精确地测量其电阻:

A.电流表:量程为0.6A,内阻约为0.1Ω

B.电压表:量程为3V,内阻约为3kΩ

C.滑动变阻器:最大阻值为20Ω,额定电流1A

D.低压直流电源:电压6V,内阻忽略

E.电键K,导线若干

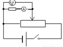
在方框中画出实验电路图

3.如果实验中电流表示数为I,电压表示数为U,并测出该棒的长度为L、直径为d,则该材料的电阻率ρ=____________(用测出的物理量的符号表示).

 

【答案】

 

1.200,0.1880

2.电路如图

3.

【解析】略

 

练习册系列答案
相关题目

违法和不良信息举报电话:027-86699610 举报邮箱:58377363@163.com

精英家教网