题目内容
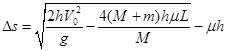
如图,质量为M、长为L、高为h的矩形滑块置于水平地面上,滑块与地面间动摩擦因数为μ;滑块上表面光滑,其右端放置一个质量为m的小球。用水平外力击打滑块左端,使其在极短时间内获得向右的速度v0,经过一段时间后小球落地。求小球落地时距滑块左端的水平距离。![]()
或者![]()
解析
练习册系列答案
相关题目
题目内容
如图,质量为M、长为L、高为h的矩形滑块置于水平地面上,滑块与地面间动摩擦因数为μ;滑块上表面光滑,其右端放置一个质量为m的小球。用水平外力击打滑块左端,使其在极短时间内获得向右的速度v0,经过一段时间后小球落地。求小球落地时距滑块左端的水平距离。![]()
或者![]()
解析