题目内容
边长为a的N匝正方形线圈在磁感应强度为B的匀强磁场中,以角速度ω绕垂直于磁感线的轴匀速转动,线圈的电阻为R.(1)求线圈从中性面开始转过90°角的过程中产生的热量.
(2)求线圈从中性面开始转过90°角的过程中,通过导线截面的电量.
【答案】分析:(1)根据Em=nBSω求出感应电动势的峰值,根据交流电的有效值来计算过程中产生的热量.
(2)根据法拉第电磁感应定律求出平均感应电动势,从而得出平均感应电流,根据q=
求出通过电阻R的电荷量.
解答:解:(1)线圈产生的感应电动势最大,其大小为:Em=NBωa2,
因此交流电的有效电压为
,
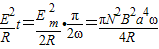
所以转动过程中产生的热量为Q=
,
(2)转动90°过程中平均感应电动势E=n
=
通过的电荷量为 q=It=
=
答:(1)则线圈从中性面开始转过90°角的过程中产生的热量
.
(2)则线圈从中性面开始转过90°角的过程中,通过导线截面的电量
.
点评:要会写出交流电的表达式,在求流过电阻的电荷量时要用到平均电动势,而发热量时,要用交流电的有效值.
(2)根据法拉第电磁感应定律求出平均感应电动势,从而得出平均感应电流,根据q=
解答:解:(1)线圈产生的感应电动势最大,其大小为:Em=NBωa2,
因此交流电的有效电压为
所以转动过程中产生的热量为Q=
(2)转动90°过程中平均感应电动势E=n
通过的电荷量为 q=It=
答:(1)则线圈从中性面开始转过90°角的过程中产生的热量
(2)则线圈从中性面开始转过90°角的过程中,通过导线截面的电量
点评:要会写出交流电的表达式,在求流过电阻的电荷量时要用到平均电动势,而发热量时,要用交流电的有效值.
练习册系列答案
相关题目