题目内容
如图,表面光滑的固定斜面顶端安装一个定滑轮,小物块A、B用轻绳连接并跨过滑轮(不计滑轮的质量和摩擦)。初始时刻,A、B处于同一高度并恰好静止状态。剪断轻绳后A下落、B沿斜面下滑,则从剪断轻绳到物块着地,两物块
![]()
A.速率的变化量不同
B.机械能的变化量不同
C.重力势能的变化量相同
D.重力做功的平均功率相同
【答案】
D
【解析】
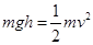
试题分析:设A的质量为m,B的质量为M,处于静止状态时,
,剪断细线后,由于两个物体下落的高度相同中,根据
可知,两物块到达地面时的速率
,因此A错误;由于没有摩擦,两个物块都满足机械能守恒,即机械能没有发生变化,
,B错误;A物块重力势能的变化为
,B物体重力势能的变化为
,因此C错误;A物体下落的时间
,重力做功的平均功率
,B物体下落时,根据
,可得运动时间
,因此重力做功的平均功率
,而由于
,因此
,D正确。
考点:机械能守恒,功,平均功率。
练习册系列答案
相关题目
| A、速度相等 | B、机械能不同 | C、重力势能相同 | D、重力的功率相同 |
| A、速率的变化量不同 | B、机械能的变化量不同 | C、重力势能的变化量不相同 | D、重力做功的平均功率不相同 |