题目内容

在“测定金属的电阻率”的实验中,需要用刻度尺测出被测金属丝的长度l,用螺旋测微器测出金属丝的直径d,用电流表和电压表测出金属丝的电阻Rx

(1)请写出测金属丝电阻率的表达式:=________(用上述测量量的字母表示).

(2)若实验中测量:金属丝的长度和直径时,刻度尺和螺旋测微器的示数分别如图所示,则金属丝长度的测量值为l=________cm,金属丝直径的测量值为d=________mm.

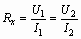
(3)用电流表和电压表测金属丝的电阻时,由于电压表、电流表内阻的影响,不论使用电流表内接法还是电流表外接法,都会产生系统误差.按如图所示的电路进行测量,可以消除由于电表内阻造成的系统误差.利用该电路进行实验的主要操作过程是:

第一步:先将R2的滑动头调到最左端,单刀双掷开关S2向1闭合,闭合电键S1,调节变阻器R1R2,使电压表和电流表的示数尽量大些(不超过量程),读出此时电压表和电流表的示数U1、I1

第二步:保持两滑动变阻器的滑动头位置不变,将单刀双掷开关S2向2闭合,读出此时电压表和电流表的示数U2I2

请写出由以上记录数据计算被测电阻Rx的表达式Rx=________.

答案:
解析:

  (1)

  (2)36.48~36.52 0.796~0.799

  (3)


练习册系列答案
相关题目

违法和不良信息举报电话:027-86699610 举报邮箱:58377363@163.com

精英家教网