ÌâÄ¿ÄÚÈÝ

1997Äê8ÔÂ26ÈÕÔÚÈÕ±¾¾ÙÐеĹú¼ÊѧÊõ´ó»áÉÏ£¬µÂ¹úMax Plankѧ»áµÄÒ»¸öÑо¿×éÐû²¼ÁËËûÃǵÄÑо¿½á¹û£ºÒøºÓϵµÄÖÐÐÄ¿ÉÄÜ´æÔÚÒ»¸ö´ó¡°ºÚ¶´¡±£®¡°ºÚ¶´¡±ÊÇijЩÌìÌåµÄ×îºóÑݱä½á¹û£®

(1)¸ù¾Ý³¤ÆÚ¹Û²â·¢ÏÖ£¬¾àÀëij¡°ºÚ¶´¡±µÄÁíÒ»¸öÐÇÌå(ÉèÆäÖÊÁ¿Îª)ÒÔµÄËÙ¶ÈÈÆ¡°ºÚ¶´¡±Ðýת£¬Çó¸Ã¡°ºÚ¶´¡±µÄÖÊÁ¿£®(½á¹ûÒªÇóÁ½Î»ÓÐЧÊý×Ö)

(2)¸ù¾ÝÌìÌåÎïÀíѧ֪ʶ£¬ÎïÌå´ÓijÌìÌåÉϵÄÌÓÒÝËٶȹ«Ê½Îª£¬ÆäÖÐÒýÁ¦³£Á¿£¬MΪÌìÌåÖÊÁ¿£¬RΪÌìÌå°ë¾¶£¬ÇÒÒÑÖªÌÓÒݵÄËÙ¶È´óÓÚÕæ¿ÕÖйâËÙµÄÌìÌå½Ð¡°ºÚ¶´¡±£®Çë¹ÀËã(1)ÖС°ºÚ¶´¡±µÄ¿ÉÄÜ×î´ó°ë¾¶£®(½á¹ûÒªÇóһλÓÐЧÊý×Ö)

´ð°¸£º
½âÎö£º

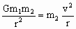
(1)Éè¡°ºÚ¶´¡±ÖÊÁ¿Îª£¬ÌìÌåÖÊÁ¿Îª£¬ËüÃÇÖ®¼äµÄ¾àÀëΪr£¬¸ù¾ÝÍòÓÐÒýÁ¦µÈÓÚÏòÐÄÁ¦£¬¼´£¬µÃ£®

(2)Éè¡°ºÚ¶´¡±µÄ¿ÉÄܰ뾶ΪR£¬ÖÊÁ¿Îª£¬ÒÀÌâÒ⣬ÐëÂú×㣮

¡à£¬¡à¡°ºÚ¶´¡±µÄ¿ÉÄÜ×î´ó°ë¾¶ÊÇ

£®

»ò¡ß£¬¡à£¬

¡à£®


Á·Ï°²áϵÁдð°¸
Ïà¹ØÌâÄ¿

Î¥·¨ºÍ²»Á¼ÐÅÏ¢¾Ù±¨µç»°£º027-86699610 ¾Ù±¨ÓÊÏ䣺58377363@163.com

¾«Ó¢¼Ò½ÌÍø