题目内容

以初速为,射程为的平抛运动轨迹制成一光滑轨道。一物体由静止开始从轨道顶端滑下,当其到达轨道底部时,物体水平方向速度大小为

A.                              B.        C.             D.

 

【答案】

C

【解析】

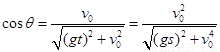
试题分析:根据平抛运动,水平方向

竖直方向

下落的高度:

设落地时速度与水平方向夹角为,则:

物体由静止开始从轨道顶端滑下

落地时的速率

因此水平方向速度

考点:平均运动,运动的合成与分解

 

练习册系列答案
相关题目

违法和不良信息举报电话:027-86699610 举报邮箱:58377363@163.com

精英家教网