题目内容

以初速为,射程为的平抛运动轨迹制成一光滑轨道。一物体由静止开始从轨道顶端滑下,当其到达轨道底部时,物体水平方向速度大小为

A.       B.

C.   D.

 

【答案】

C

【解析】

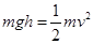
试题分析:平抛物体水平射程为S时,有:水平方向竖直方向,到底点时,速度与水平方向的夹角设为θ,有,物体从该轨道上滑到底端时,由机械能守恒得,水平方向的分速度为:,联立以上方程解得:vx=,C正确,A.B.D错误。

考点:本题考查了平抛运动规律

 

练习册系列答案
相关题目

违法和不良信息举报电话:027-86699610 举报邮箱:58377363@163.com

精英家教网