题目内容

如右图所示,P是水平面上的圆弧凹槽.从高台边B点以某速度v0水平飞出的小球,恰能从固定在某位置的凹槽的圆弧轨道的左端A点沿圆弧切线方向进入轨道.O是圆弧的圆心,θ1是OA与竖直方向的夹角,θ2是BA与竖直方向的夹角.则(  )

A.                 B.

C.                D.

 

【答案】

B

【解析】

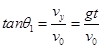
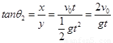
试题分析: 平抛运动在水平方向上做匀速直线运动,在竖直方向上做自由落体运动.速度与水平方向的夹角为.位移与竖直方向的夹角为,则.故B正确,ACD错误.

故选B.

考点:考查了平抛运动规律

点评:解决本题的关键掌握处理平抛运动的方法,平抛运动在水平方向上做匀速直线运动,在竖直方向上做自由落体运动.以及知道速度与水平方向夹角的正切值是同一位置位移与水平方向夹角的正切值的两倍.

 

练习册系列答案
相关题目

违法和不良信息举报电话:027-86699610 举报邮箱:58377363@163.com

精英家教网