题目内容
汽车在平直的公路上运动,它先以速度v行驶了
【答案】分析:假设汽车的总位移为3x,前
的位移汽车做匀速直线运动,求出此段时间表达式.后
位移,汽车也做匀速直线运动,再求出此段时间,最后由平均速度公式列出全程平均速度与总位移和时间的关系式,求解v
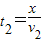
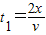
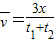
解答:解:设全程的位移为3x,则汽车以速度v行驶了前2x的位移,以v2=20m/s行驶了后x的位移.
则汽车通过前
位移的时间
;
汽车通过后
位移的时间
;
全程平均速度
;
代入解得:v=40m/s
答:v的大小为v=40m/s.
点评:本题根据平均速度的定义公式去求解速度v,是常规题,比较容易,考试时不能丢分.
解答:解:设全程的位移为3x,则汽车以速度v行驶了前2x的位移,以v2=20m/s行驶了后x的位移.
则汽车通过前
汽车通过后
全程平均速度
代入解得:v=40m/s
答:v的大小为v=40m/s.
点评:本题根据平均速度的定义公式去求解速度v,是常规题,比较容易,考试时不能丢分.
练习册系列答案
相关题目
| A、汽车运动中的最大功率为F1 v3 | ||
B、速度为v2时的加速度大小为
| ||
C、汽车行驶中所受的阻力
| ||
D、恒定加速时,加速度为
|
某校高二部分学生分别乘两辆汽车从学校出发去敬老院做义工.两辆汽车在平直的公路上运动,甲车内一同学看见前面的乙车向东运动,此时乙车内的同学看见路旁的树木向西移动.如果以地面为参考系,那么上述观察说明( )
| A、两车都向东运动,但甲车运动快 | B、两车都向东运动,但乙车运动快 | C、两车都向西运动,但甲车运动快 | D、两车都向西运动,但乙车运动快 |