题目内容
两颗人造地球卫星,都在圆形轨道上运行,它们的质量相等,轨道半径之比
,则它们动能之比
等于
[ ]
A.2
B.
C.
D.4
答案:A
解析:
解析:
|
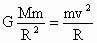
卫星做圆周运动的向心力由万有引力提供,根据万有引力定律和向心力公式得 卫星的动能表示为 质量相等的卫星动能与轨道半径成反比 则 |
练习册系列答案
相关题目