ÌâÄ¿ÄÚÈÝ
ÈçͼËùʾ£¬OP1Q1ÓëOP2Q2ÊÇλÓÚÍ¬Ò»Ë®Æ½ÃæÉϵÄÁ½¸ù¹â»¬½ðÊôµ¼¹ì£¬´¦ÔÚÊúÖ±ÏòϵÄÔÈÇ¿´Å³¡ÖУ¬´Å¸ÐӦǿ¶ÈΪB£®µ¼¹ìµÄOP1¶ÎÓëOP2¶ÎÏ໥´¹Ö±£¬³¤¶ÈÏàµÈ£¬½»ÓÚOµã£®µ¼¹ìµÄP1Q1¶ÎÓëP2Q2¶ÎÏ໥ƽÐУ¬²¢Ïà¾à2b£®Ò»½ðÊôϸ¸ËÔÚ´¹Ö±ÓÚ½ðÊô¸ËµÄˮƽÍâÁ¦×÷ÓÃÏ£¬t=0µÄʱ¿Ì´ÓOµã³ö·¢£¬ÒԺ㶨µÄËÙ¶ÈvÑØµ¼¹ìÏòÓÒ»¬¶¯£®ÔÚ»¬¶¯¹ý³ÌÖУ¬¸ËʼÖÕ±£³ÖÓëµ¼¹ìµÄƽÐжÎÏà´¹Ö±£¬¸ËÓëµ¼¹ìÓÐÁ¼ºÃµÄ½Ó´¥£®¼Ù¶¨µ¼¹ìºÍ½ðÊô¸Ë¶¼Óеç×裬ÿµ¥Î»³¤¶ÈµÄµç×è¶¼ÊÇr£®Ç󣺣¨1£©½ðÊô¸ËÔÚÕý½»µÄOP1¡¢OP2µ¼¹ìÉÏ»¬¶¯Ê±£¬¼ÓÔÚ ½ðÊô¸ËÉÏÍâÁ¦µÄ¹¦ÂÊËæÊ±¼äµÄ±ä»¯¹ØÏµ£¿
£¨2£©½ðÊô¸ËÔ˶¯µ½P1¡¢P2ÓÒ²àx´¦µçÁ÷µÄ´óС£¿
¡¾´ð°¸¡¿·ÖÎö£º£¨1£©¸ù¾ÝÇиî²úÉúµÄ¸ÐÓ¦µç¶¯ÊÆ£¬½áºÏ±ÕºÏµç·ŷķ¶¨ÂÉÇó³ö¸ÐÓ¦µçÁ÷µÄ´óС£¬´Ó¶øÇó³ö°²ÅàÁ¦µÄ´óС£¬°²ÅàÁ¦µÈÓÚÍâÁ¦´óС£¬Í¨¹ýP=FvÇó³ö½ðÊô¸ËÉÏÍâÁ¦µÄ¹¦ÂÊËæÊ±¼äµÄ±ä»¯¹ØÏµ£®
£¨2£©Çó³ö¸ÐÓ¦µç¶¯ÊƺÍ×ܵç×裬¸ù¾Ý±ÕºÏµç·ŷķ¶¨ÂÉÇó³ö¸ÐÓ¦µçÁ÷µÄ´óС£®
½â´ð£º½â£º£¨1£©ÉèÍâÁ¦ÎªF£¬¹¦ÂÊΪP£¬Ôò¸ù¾Ý¹¦ÂʵļÆË㹫ʽ£ºP=Fv
°²ÅàÁ¦¹«Ê½F=BIL
¸ù¾Ý±ÕºÏµç·ŷķ¶¨Âɵã¬
ËùÒÔ
£¨2£©ÓɸÐÓ¦µç¶¯ÊƵĹ«Ê½¿ÉE=2bBv
µ±Ô˶¯µ½¾àP1¡¢P2Ϊxʱµç·ÖеÄ×ܵç×èΪ
ÓÉÈ«µç·ŷķ¶¨ÂɿɵÃ
£®
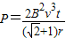
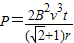
´ð£º£¨1£©¼ÓÔÚ½ðÊô¸ËÉÏÍâÁ¦µÄ¹¦ÂÊËæÊ±¼äµÄ±ä»¯¹ØÏµ
£®
£¨2£©½ðÊô¸ËÔ˶¯µ½P1¡¢P2ÓÒ²àx´¦µçÁ÷µÄ´óСΪ
£®
µãÆÀ£º±¾Ìâ×ۺϿ¼²éÁËÇиî²úÉúµÄ¸ÐÓ¦µç¶¯ÊÆ¡¢±ÕºÏµç·ŷķ¶¨ÂÉ¡¢Å£¶ÙµÚ¶þ¶¨ÂɵÈ֪ʶµã£¬×ÛºÏÐÔ½ÏÇ¿£¬Ðè¼ÓǿѵÁ·£®
£¨2£©Çó³ö¸ÐÓ¦µç¶¯ÊƺÍ×ܵç×裬¸ù¾Ý±ÕºÏµç·ŷķ¶¨ÂÉÇó³ö¸ÐÓ¦µçÁ÷µÄ´óС£®
½â´ð£º½â£º£¨1£©ÉèÍâÁ¦ÎªF£¬¹¦ÂÊΪP£¬Ôò¸ù¾Ý¹¦ÂʵļÆË㹫ʽ£ºP=Fv
°²ÅàÁ¦¹«Ê½F=BIL
¸ù¾Ý±ÕºÏµç·ŷķ¶¨Âɵã¬
ËùÒÔ
£¨2£©ÓɸÐÓ¦µç¶¯ÊƵĹ«Ê½¿ÉE=2bBv
µ±Ô˶¯µ½¾àP1¡¢P2Ϊxʱµç·ÖеÄ×ܵç×èΪ
ÓÉÈ«µç·ŷķ¶¨ÂɿɵÃ
´ð£º£¨1£©¼ÓÔÚ½ðÊô¸ËÉÏÍâÁ¦µÄ¹¦ÂÊËæÊ±¼äµÄ±ä»¯¹ØÏµ
£¨2£©½ðÊô¸ËÔ˶¯µ½P1¡¢P2ÓÒ²àx´¦µçÁ÷µÄ´óСΪ
µãÆÀ£º±¾Ìâ×ۺϿ¼²éÁËÇиî²úÉúµÄ¸ÐÓ¦µç¶¯ÊÆ¡¢±ÕºÏµç·ŷķ¶¨ÂÉ¡¢Å£¶ÙµÚ¶þ¶¨ÂɵÈ֪ʶµã£¬×ÛºÏÐÔ½ÏÇ¿£¬Ðè¼ÓǿѵÁ·£®
Á·Ï°²áϵÁдð°¸
Ïà¹ØÌâÄ¿