题目内容

(2006·天津)如图所示的电路中,电池的电动势为E,内阻为r,电路中的电阻的阻值都相同.在开关S处于闭合状态下,若将开关由位置1切换到位置2,则

[  ]

A.电压表的示数变大

B.电池内部消耗的功率变大

C.电阻两端的电压变大

D.电池的效率变大

答案:B
解析:

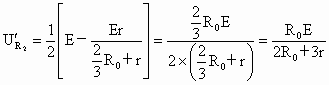
思路分析:令,在位置1,外电路总电阻为,开关由位置1切换2,则整个外电阻为,由于总电阻减小,总电流增大,内电压增大,电压表示数减小,A错;内耗功率,故P增大,B对.开关在位置1时的两端电压为,开关在位置2时,两端电压为,则

,故

C错;电池效率,由于R减小,减小,故D错.

规律技巧总结:本题涉及直流电路的动态分析,分析时要紧紧抓住由局部→整体→局部的思想,先由局部的电阻变化,分析整体的电阻、电流、电压的变化,然后再回到局部讨论相关物理量的变化.


练习册系列答案
相关题目

违法和不良信息举报电话:027-86699610 举报邮箱:58377363@163.com

精英家教网