题目内容

如图所示,OBCD为半圆柱体玻璃的横截面,OD为直径,一束由红光和紫光组成的复色光沿AO方向从真空斜射入玻璃,BC点为两单色光的射出点(设光线在BC处未发生全反射).已知从B点射出的单色光由OB的传播时间为t

       ①若OBOC两束单色光在真空中的波长分别为λBλC,试比较λBλC的大小关系.

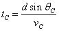
       ②求从C点射出的单色光由OC的传播时间tC.                            

λB<λC

解:①红光的折射率小,频率小,波长大.进入玻璃后红光偏折得少,故OC光为红光,故λB<λC(2分)

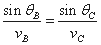
②如图,作界面OD的法线,设圆柱体的直径为,入射角为θ,折射角分别为θBθC,连结OBOC.(1分)

由折射定律得(1分)

(1分)故(1分)

已知(1分)所以(1分),即(1分)

练习册系列答案
相关题目

违法和不良信息举报电话:027-86699610 举报邮箱:58377363@163.com

精英家教网