题目内容
在如图所示电路中,电源两端的电压恒定为9V,灯A标有“12V,12W”字样,灯B标有“4V,4W”字样,当滑动变阻器R2 的阻值为2Ω时,灯B恰能正常发光,假定灯A电阻不变.试求:(1)此时灯A的实际功率;
(2)起保护电源作用的电阻R1的阻值;
(3)若将滑动变阻器R2的滑片P向下滑动,试判断A、B两灯的亮暗变化情况(不要求说明理由).
【答案】分析:(1)B恰能正常发光,灯B两端电压UB等于额定电压,由功率公式P=UI求出通过B灯的电流,由欧姆定律求出A灯两端的电压,根据额定功率与额定电压求得A的电阻,即可由P=
公式求得灯A的实际功率;
(2)电阻R1两端电压等于电源的电压减去A灯的电压,由两灯电流之和求得干路电流,再由欧姆定律求解电阻R1的阻值;
(3)将滑动变阻器R2的滑片P向下滑动,变阻器接入电路的电阻增大,外电路总电阻增大,分析干路电流的变化及A灯的电压变化,由干路电流与A灯的电流变化,分析B灯电流变化,即可判断两灯亮度的变化情况.
解答:解:(1)因灯B恰能正常发光,则灯B两端电压UB=4V
流过灯B电流
滑动变阻器R2两端电压U2=IBR2=1×2V=2V)
则灯A两端电压 UA′=UB+U2=6V
灯A阻值为 RA=
=
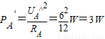
灯A实际功率
(2)电阻R1两端电压U1=U-UA=9V-6V=3V
流过的电流I1=IA+IB=1.5A
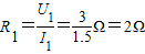
电阻R1阻值
(3)将滑动变阻器R2的滑片P向下滑动,变阻器接入电路的电阻增大,外电路总电阻增大,A灯两端的电压变大,灯A实际功率变大,灯A变亮;干路电流减小,而A灯的电流增大,则灯B实际功率变小,灯B变暗.
答:(1)此时灯A的实际功率是3W;
(2)起保护电源作用的电阻R1的阻值是2Ω;
(3)将滑动变阻器R2的滑片P向下滑动,灯A变亮;灯B变暗.
点评:本题是电路的分析和计算问题,在搞清电路的基础上,运用欧姆定律求解.
(2)电阻R1两端电压等于电源的电压减去A灯的电压,由两灯电流之和求得干路电流,再由欧姆定律求解电阻R1的阻值;
(3)将滑动变阻器R2的滑片P向下滑动,变阻器接入电路的电阻增大,外电路总电阻增大,分析干路电流的变化及A灯的电压变化,由干路电流与A灯的电流变化,分析B灯电流变化,即可判断两灯亮度的变化情况.
解答:解:(1)因灯B恰能正常发光,则灯B两端电压UB=4V
流过灯B电流
滑动变阻器R2两端电压U2=IBR2=1×2V=2V)
则灯A两端电压 UA′=UB+U2=6V
灯A阻值为 RA=
灯A实际功率
(2)电阻R1两端电压U1=U-UA=9V-6V=3V
流过的电流I1=IA+IB=1.5A
电阻R1阻值
(3)将滑动变阻器R2的滑片P向下滑动,变阻器接入电路的电阻增大,外电路总电阻增大,A灯两端的电压变大,灯A实际功率变大,灯A变亮;干路电流减小,而A灯的电流增大,则灯B实际功率变小,灯B变暗.
答:(1)此时灯A的实际功率是3W;
(2)起保护电源作用的电阻R1的阻值是2Ω;
(3)将滑动变阻器R2的滑片P向下滑动,灯A变亮;灯B变暗.
点评:本题是电路的分析和计算问题,在搞清电路的基础上,运用欧姆定律求解.
练习册系列答案
相关题目