题目内容

如图所示,匀强电场方向沿x轴的正方向,场强为E.在A(l,0)点有一个质量为m,电荷量为q 的粒子,以沿 y 轴负方向的初速度v0开始运动,经过一段时间到达B(0,-l)点,(不计重力作用).求:

(1)粒子的初速度v0的大小.

(2)当粒子到达B点时,电场力对粒子做功的瞬时功率.

答案:
解析:

  解:(1)粒子在y方向不受力,做匀速直线运动;在x方向由于受恒定的电场力,做匀加速直线运动.所以粒子做的是类平抛运动.设粒子的初速度为v0,则:

  在y方向上有:yv0t(1分)

  在x方向上有:(1分)

  又xyl

  可得:(2分)

  (2)设粒子到达B点时的速度为v

  则电场力做功的瞬时功率为:PqEvx(1分)

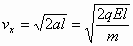
  由运动学公式可得:(1分)

  所以:(2分)


练习册系列答案
相关题目

违法和不良信息举报电话:027-86699610 举报邮箱:58377363@163.com

精英家教网