题目内容
如图所示,交流发电机电动势的有效值为E=20 V,内阻不计,它通过一个R=6的指示灯连接变压器,变压器输出端并联24只彩色小灯泡,每只灯泡都是“6 V、0.25 W”,灯泡都正常发光,导线电阻不计.求:
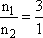
(1)降压变压器初、次级线圈匝数比;
(2)发电机的输出功率.(计算结果保留三位有效数字)
答案:
解析:
解析:
|
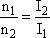
(1)彩色小灯泡额定功率:IL= 次级线圈总电流I2=24IL ② 变压器输入功率P入=P1U1=I2U2 ③ 变压器原线圈电路中,利用欧姆定律可得:E=U1+I1R ④ 由理想变压器的公式可得: 将E=24 V代入上式可解得: (2)发电机的输出功率P出=I1E ⑦ 代入数据可解得:P出=6.67(W) ⑧ |
练习册系列答案
相关题目
| 100 |
| π |
| A、垂直纸面向里看,图中时刻线圈中感应电流方向为逆时针 | ||
B、感应电流的周期为
| ||
| C、图中电压表读数为144V | ||
| D、电阻R上消耗的电功率为2304W |