题目内容
如图所示,光滑平台上有一个质量为m的物块,用绳子跨过定滑轮由地面上的人向右拉动,人以速度v从平台的边缘处向右匀速前进了s,不计绳和滑轮的质量及滑轮轴的摩擦,且平台离人手作用点竖直高度始终为h,则 ( )A.在该过程中,物块的运动也是匀速的
B.在该过程中,人对物块做的功为
C.在该过程中,人对物块做的功为
D.在该过程中,物块的运动速率为
【答案】分析:对人运动的速度进行分解,分解为沿绳子方向和垂直于绳子方向,在沿绳子方向上的分速度等于物块的速度,根据动能定理求出人对滑块所做的功.
解答:解:A、将人的速度分解为沿绳子方向和垂直于绳子方向,在沿绳子方向上的分速度等于物块的速度,如图,物块的速度等于vcosθ,v不变,θ在变化,所以物块的速度在变化.故A错误.
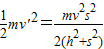
B、当人从平台的边缘处向右匀速前进了s,此时物块的速度大小
,根据动能定理得,W=
.故B、D错误,C正确.
故选C.

点评:解决本题的关键知道物块的速度等于绳子收缩的速度,等于人运动的沿绳子方向上的分速度,以及能够灵活运用动能定理.
解答:解:A、将人的速度分解为沿绳子方向和垂直于绳子方向,在沿绳子方向上的分速度等于物块的速度,如图,物块的速度等于vcosθ,v不变,θ在变化,所以物块的速度在变化.故A错误.
B、当人从平台的边缘处向右匀速前进了s,此时物块的速度大小
故选C.
点评:解决本题的关键知道物块的速度等于绳子收缩的速度,等于人运动的沿绳子方向上的分速度,以及能够灵活运用动能定理.
练习册系列答案
相关题目