ÌâÄ¿ÄÚÈÝ
ÈçͼËùʾ£®Ò»´ØÖÊÁ¿¾ùΪm¡¢µçÁ¿¾ùΪqµÄÀë×Ó£¬ÔÚPµãÒÔͬһËÙÂÊvÑØxoyÉÏ°ëÆ½ÃæÖеĸ÷¸ö·½ÏòÉä³ö£¬ÔÚPµã×ó²à¿¿½üPµã´¦ÓÐÒ»ÊúÖ±·ÅÖõĵ²°å£®ÏÖ¼ÓÒ»´¹Ö±ÓÚxoyÆ½ÃæµÄ´Å¸ÐӦǿ¶ÈΪBµÄÓнçÔÈÇ¿´Å³¡£¬¿É½«ÕâЩÀë×Ó¾Û½¹µ½Rµã£¬PµãÓëRµãÏà¾àΪ2a£¬Àë×ӹ켣¹ØÓÚyÖá¶Ô³Æ£®ÊÔÇ󣺣¨1£©Àë×ÓÔڴų¡ÖÐÔ˶¯µÄ¹ì¼£°ë¾¶
£¨2£©µ±
£¨3£©ÊÔÍÆ³öÔÚx£¾0µÄÇøÓòÖдų¡µÄ±ß½çµã×ø±êxºÍyÂú×ãµÄ¹ØÏµÊ½£®£¨Ã»ÓÐÎÊÌ⣬×î¶à¸ÄΪ¡°x¡¢yÂú×ãµÄ¹ØÏµÊ½¡±£©
¡¾´ð°¸¡¿·ÖÎö£º£¨1£©Àë×Ó½øÈë´Å³¡ºó£¬Êܵ½ÂåÂ××ÈÁ¦×÷ÓÃ×öÔÈËÙÔ²ÖÜÔ˶¯£¬¸ù¾ÝÏòÐÄÁ¦¹«Ê½¼´¿ÉÇó½â£»
£¨2£©Ïȸù¾Ý¼¸ºÎ¹ØÏµÇó³ö½øÈëºÍÀ뿪´Å³¡Ê±µÄ×ø±ê£¬Çó³öÁ£×ÓÔ˶¯µÄ·³Ì£¬¸ù¾Ýʱ¼äµÈÓÚ·³Ì³ýÒÔËÙÂÊÇó½â£»
£¨3£©¸ù¾Ý¼¸ºÎ¹ØÏµ±íʾ³öx¡¢yÓë°ë¾¶rµÄ¹ØÏµ£¬´øÈëÊý¾Ý¼´¿ÉµÃ³öxÓëyÖ®¼äÂú×ãµÄ¹ØÏµÊ½£®
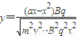
½â´ð£º½â£º£¨1£©Àë×Ó½øÈë´Å³¡ºó£¬ÊÜÂåÂØ×ÈÁ¦×÷Óã¬ÓÉÅ£¶ÙµÚ¶þ¶¨Âɵãº

ÕûÀíµÃ£º
£¨2£©ÈçͼËùʾ£¬Óɼ¸ºÎ¹ØÏµ¿ÉµÃ£¬Àë×Ó½øÈë´Å³¡Aµã×ø±êΪ£¨
£¬
£©À뿪´Å³¡Bµã×ø±êΪ£¨
£¬
£©

Óɼ¸ºÎ¹ØÏµ£¬Àë×ÓÔ˶¯µÄ·³ÌΪ£º

Ôò
»ò
£¨3£©ÔÚx£¾0µÄÇøÓòÄÚ£¬ÁîÀë×ÓÀ뿪´Å³¡ºóÓëxÖá¼Ð½ÇΪ¦È£®
Óɼ¸ºÎ¹ØÏµµÃ£ºx=rsin¦È

´úÈëÏà¹ØÊý¾Ý²¢»¯¼òµÃ£º
´ð£º£¨1£©Àë×ÓÔڴų¡ÖÐÔ˶¯µÄ¹ì¼£°ë¾¶
£¨2£©µ±
=aʱ£¬ÓëxÖá³É30°½ÇÉä³öµÄÀë×Ó´ÓPµãµ½´ïRµãµÄʱ¼ä
»ò
£®
£¨3£©ÔÚx£¾0µÄÇøÓòÖдų¡µÄ±ß½çµã×ø±êxºÍyÂú×ã¹ØÏµÊ½
£®
µãÆÀ£º±¾ÌâÊÇ´øµçÁ£×ÓÔڴų¡ÖÐ×öÔÈËÙÔ²ÖÜÔ˶¯£¬ÒªÇóͬѧÃÇÄÜ»³öÁ£×ÓÔ˶¯µÄ¹ì¼££¬½áºÏ¼¸ºÎ¹ØÏµÇó½â£¬ÖªµÀ°ë¾¶¹«Ê½¼°ÖÜÆÚ¹«Ê½£¬ÄѶȽϴó£®
£¨2£©Ïȸù¾Ý¼¸ºÎ¹ØÏµÇó³ö½øÈëºÍÀ뿪´Å³¡Ê±µÄ×ø±ê£¬Çó³öÁ£×ÓÔ˶¯µÄ·³Ì£¬¸ù¾Ýʱ¼äµÈÓÚ·³Ì³ýÒÔËÙÂÊÇó½â£»
£¨3£©¸ù¾Ý¼¸ºÎ¹ØÏµ±íʾ³öx¡¢yÓë°ë¾¶rµÄ¹ØÏµ£¬´øÈëÊý¾Ý¼´¿ÉµÃ³öxÓëyÖ®¼äÂú×ãµÄ¹ØÏµÊ½£®
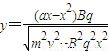
½â´ð£º½â£º£¨1£©Àë×Ó½øÈë´Å³¡ºó£¬ÊÜÂåÂØ×ÈÁ¦×÷Óã¬ÓÉÅ£¶ÙµÚ¶þ¶¨Âɵãº
ÕûÀíµÃ£º
£¨2£©ÈçͼËùʾ£¬Óɼ¸ºÎ¹ØÏµ¿ÉµÃ£¬Àë×Ó½øÈë´Å³¡Aµã×ø±êΪ£¨
Óɼ¸ºÎ¹ØÏµ£¬Àë×ÓÔ˶¯µÄ·³ÌΪ£º
Ôò
£¨3£©ÔÚx£¾0µÄÇøÓòÄÚ£¬ÁîÀë×ÓÀ뿪´Å³¡ºóÓëxÖá¼Ð½ÇΪ¦È£®
Óɼ¸ºÎ¹ØÏµµÃ£ºx=rsin¦È
´úÈëÏà¹ØÊý¾Ý²¢»¯¼òµÃ£º
´ð£º£¨1£©Àë×ÓÔڴų¡ÖÐÔ˶¯µÄ¹ì¼£°ë¾¶
£¨2£©µ±
£¨3£©ÔÚx£¾0µÄÇøÓòÖдų¡µÄ±ß½çµã×ø±êxºÍyÂú×ã¹ØÏµÊ½
µãÆÀ£º±¾ÌâÊÇ´øµçÁ£×ÓÔڴų¡ÖÐ×öÔÈËÙÔ²ÖÜÔ˶¯£¬ÒªÇóͬѧÃÇÄÜ»³öÁ£×ÓÔ˶¯µÄ¹ì¼££¬½áºÏ¼¸ºÎ¹ØÏµÇó½â£¬ÖªµÀ°ë¾¶¹«Ê½¼°ÖÜÆÚ¹«Ê½£¬ÄѶȽϴó£®
Á·Ï°²áϵÁдð°¸
Ïà¹ØÌâÄ¿