题目内容
质量为M=2kg、长为L=5m的薄木板,在水平向右的力F=10N作用下,以v=6m/s的速度匀速运动.某时刻将质量为m=1kg的铁块(可看成质点)轻轻地放在木板的最右端,水平拉力F不变,木板与铁块的动摩擦因数为μ1=0.1.(g=10m/s2.)(1)木板与地面的动摩擦因数μ2
(2)刚放上铁块后铁块的加速度a1、木板的加速度a2.
(3)通过计算判断铁块是否会从木板上掉下去,若不掉下去计算木板从放上铁块后到停止运动的总时间.
【答案】分析:(1)木板匀速运动,由平衡条件可得:F=μ2Mg 即可求得木板与地面的动摩擦因数μ2;
(2)放上铁块后,铁块和木板相对滑动,分别对铁块和木板进行受力分析,根据牛顿第二定律即可解得加速度;
(3)若铁块不掉下去,当二者速度相同时,求出它们的相对位移,若相对位移小于木板长度,则不会掉下去,此后都做匀减速运动,求出匀减速运动的时间,总时间等于两段时间之和.
解答:解:(1)木板匀速运动,由平衡条件可得:
F=μ2Mg
解得:μ2=0.5
(2)放上铁块后,铁块的加速度为:a1=μ1g=1m/s2铁块将向右加速运动.
木板的加速度为:
木板将减速运动.
(3)若铁块不掉下去,当二者速度相同时有:V=a1t=v+a2t
解得:t=1.5s V=1.5m/s
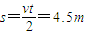
相对位移为:
,可见铁块不会掉下去.
以后M的加速度为:
m的加速度为:a4=-μ1g=-1m/s2
M减速到0.

总时间t+t'=2.25s
答:(1)木板与地面的动摩擦因数μ2为0.5;
(2)刚放上铁块后铁块的加速度a1为1m/s2,木板的加速度a2为-3m/s2;
(3)不会掉下去,木板从放上铁块后到停止运动的总时间为2.25s.
点评:本题主要考查了牛顿第二定律和运动学基本公式的直接应用,注意速度相等时不掉下去,以后就不会掉下去了,难度适中.
(2)放上铁块后,铁块和木板相对滑动,分别对铁块和木板进行受力分析,根据牛顿第二定律即可解得加速度;
(3)若铁块不掉下去,当二者速度相同时,求出它们的相对位移,若相对位移小于木板长度,则不会掉下去,此后都做匀减速运动,求出匀减速运动的时间,总时间等于两段时间之和.
解答:解:(1)木板匀速运动,由平衡条件可得:
F=μ2Mg
解得:μ2=0.5
(2)放上铁块后,铁块的加速度为:a1=μ1g=1m/s2铁块将向右加速运动.
木板的加速度为:
(3)若铁块不掉下去,当二者速度相同时有:V=a1t=v+a2t
解得:t=1.5s V=1.5m/s
相对位移为:
以后M的加速度为:
m的加速度为:a4=-μ1g=-1m/s2
M减速到0.
总时间t+t'=2.25s
答:(1)木板与地面的动摩擦因数μ2为0.5;
(2)刚放上铁块后铁块的加速度a1为1m/s2,木板的加速度a2为-3m/s2;
(3)不会掉下去,木板从放上铁块后到停止运动的总时间为2.25s.
点评:本题主要考查了牛顿第二定律和运动学基本公式的直接应用,注意速度相等时不掉下去,以后就不会掉下去了,难度适中.
练习册系列答案
相关题目