题目内容
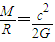
英国《新科学家(New Scientist)》杂志评选出了2008年度世界8项科学之最,在XTEJ1650-500双星系统中发现的最小黑洞位列其中,若某黑洞的半径R约45km,质量M和半径R的关系满足A.108m/s2
B.1010m/s2
C.1012m/s2
D.1014m/s2
【答案】分析:根据物体与该天体之间的万有引力等于物体受到的重力,列出等式表示出黑洞表面重力加速度.
结合题目所给的信息求解问题.
解答:解:黑洞实际为一天体,天体表面的物体受到的重力近似等于物体与该天体之间的万有引力,
对黑洞表面的某一质量为m物体有:
,
又有
,
联立解得
,
带入数据得重力加速度的数量级为1012m/s2,
故选C.
点评:处理本题要从所给的材料中,提炼出有用信息,构建好物理模型,选择合适的物理方法求解.
结合题目所给的信息求解问题.
解答:解:黑洞实际为一天体,天体表面的物体受到的重力近似等于物体与该天体之间的万有引力,
对黑洞表面的某一质量为m物体有:
又有
联立解得
带入数据得重力加速度的数量级为1012m/s2,
故选C.
点评:处理本题要从所给的材料中,提炼出有用信息,构建好物理模型,选择合适的物理方法求解.
练习册系列答案
相关题目