题目内容
(1)该星球表面的重力加速度g;
(2)该星球的第一宇宙速度υ;
(3)人造卫星在该星球表面做匀速圆周运动的最小周期T.
【答案】分析:(1)小球做平抛运动,水平位移x=υt,竖直位移
,再根据几何关系即可求得该星球表面的重力加速度g;
(2)该星球的近地卫星的向心力由万有引力提供,该星球表面物体所受重力等于万有引力,联立方程即可求出该星球的第一宇宙速度υ;
(3)人造卫星的向心力由万有引力提供,当运动半径即为该星球半径时,周期最小.
解答:解:(1)小球做平抛运动,水平位移x=υt,竖直位移
由位移关系得:
,
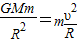
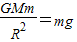
(2)该星球的近地卫星的向心力由万有引力提供
①
该星球表面物体所受重力等于万有引力,
②
由①②得
(3)人造卫星的向心力由万有引力提供
当r=R时,T最小,
答:(1)该星球表面的重力加速度g为
;
(2)该星球的第一宇宙速度υ为
;
(3)人造卫星在该星球表面做匀速圆周运动的最小周期T为
.
点评:该题主要考查了平抛运动及圆周运动的相关知识,要求同学们能熟练掌握平抛运动的基本公式及向心力公式,难度适中.
(2)该星球的近地卫星的向心力由万有引力提供,该星球表面物体所受重力等于万有引力,联立方程即可求出该星球的第一宇宙速度υ;
(3)人造卫星的向心力由万有引力提供,当运动半径即为该星球半径时,周期最小.
解答:解:(1)小球做平抛运动,水平位移x=υt,竖直位移
由位移关系得:
(2)该星球的近地卫星的向心力由万有引力提供
该星球表面物体所受重力等于万有引力,
由①②得
(3)人造卫星的向心力由万有引力提供
当r=R时,T最小,
答:(1)该星球表面的重力加速度g为
(2)该星球的第一宇宙速度υ为
(3)人造卫星在该星球表面做匀速圆周运动的最小周期T为
点评:该题主要考查了平抛运动及圆周运动的相关知识,要求同学们能熟练掌握平抛运动的基本公式及向心力公式,难度适中.
练习册系列答案
相关题目