题目内容

一位勤于思考的同学为探月宇航员设计了如下实验:在距离月球地面高h(h只有几十厘米,远远小于月球的半径)处,以初速度v0(v0只有几米每秒)水平抛出一个物体,然后测量该平抛物体的水平位移为x,通过查阅资料知道月球的半径为R,引力常量为G,求:

(1)月球表面的重力加速度

(2)月球的质量

(3)环绕月球表面运动的宇宙飞船的速率是多少?

 

【答案】

(1)(2)(3)

【解析】

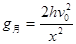
试题分析:(1)物体在月球表面做平抛运动,有

水平方向上:x=v0t

竖直方向上:·  2

解得月球表面的重力加速度:       1             

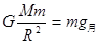
(2)设月球的质量为M,对月球表面质量为m的物体,有  

解得:     2

(3)设环绕月球表面飞行的宇宙飞船的速率为v,则有 

    2    

解得:1

考点:考查万有引力定律的应用,

点评:在月球表面上根据物体的平抛运动可求得月球表面重力加速度,由黄金代换可求得月球质量,环绕月球飞行的宇宙飞船有万有引力提供向心力,因为是在月球表面运动,所以重力等于万有引力,结合前两问的结果可求得线速度大小

 

练习册系列答案
相关题目

违法和不良信息举报电话:027-86699610 举报邮箱:58377363@163.com

精英家教网