ÌâÄ¿ÄÚÈÝ

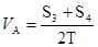
ÈçͼËùʾ£¬Ä³Í¬Ñ§ÔÚ×ö¡°Ñо¿ÔȱäËÙÖ±ÏßÔ˶¯¡±ÊµÑéÖУ¬ÓÉ´òµã¼ÆÊ±Æ÷µÃµ½±íʾС³µÔ˶¯¹ý³ÌµÄÒ»ÌõÇåÎúÖ½´ø£¬Ö½´øÉÏÁ½ÏàÁÚ¼ÆÊýµãµÄʱ¼ä¼ä¸ôΪT=0.10s£¬ÆäÖÐS1=7.05cm¡¢S2=7.68cm¡¢S3=8.33cm¡¢S4=8.95cm¡¢S5=9.61cm¡¢S6=10.26cm£¬ÔòAµã´¦Ë²Ê±ËٶȵĴóСÊÇ_______m/s£¬Ð¡³µÔ˶¯µÄ¼ÓËٶȼÆËã±í´ïʽΪ_______ £¬¼ÓËٶȵĴóСÊÇ_______m/s2£¨¼ÆËã½á¹û±£ÁôÁ½Î»ÓÐЧÊý×Ö£©¡£

 

 

¡¾´ð°¸¡¿

0.86              0.64

¡¾½âÎö¡¿

ÊÔÌâ·ÖÎö£ºÓÉÓÚAµã´¦ÓÚS3ºÍS4Öмäʱ¿Ì£¬ÔòAµã´¦Ë²Ê±ËٶȵĴóСΪ£¬½âµÃ£»¸ù¾Ý£¬ÓУ¬Í¬Àí£º£¬£¬Çó³ö£¬£¬£¬ÔÙËã³ö¡¢¡¢µÄƽ¾ùÖµ£¬¼´ÎªËùÇóÎïÌåÔ˶¯µÄ¼ÓËÙ¶È£¬½âµÃ¡£

¿¼µã£º±¾Ì⿼²éÁËÔȱäËÙÖ±ÏßÔ˶¯ÔÚijһ¶Îʱ¼äÄÚÖмäʱ¿ÌµÄ˲ʱËٶȵÈÓÚÕâ¶Îʱ¼äµÄƽ¾ùËٶȼ°ÊµÑéÖÐÓÃÖð²î·¨ÇóÎïÌåµÄ¼ÓËÙ¶È¡£

 

Á·Ï°²áϵÁдð°¸
Ïà¹ØÌâÄ¿

Î¥·¨ºÍ²»Á¼ÐÅÏ¢¾Ù±¨µç»°£º027-86699610 ¾Ù±¨ÓÊÏ䣺58377363@163.com

¾«Ó¢¼Ò½ÌÍø