题目内容

已知地球质量为M、半径为R,万有引力常量G.卫星在地球表面绕地球做匀速圆周运动所需的速度称为第一宇宙速度v1,卫星从地面发射,恰好能脱离地球引力束缚的速度称为第二宇宙速度v2,已知v2=v1.根据以上条件,并以卫星脱离地球引力时的引力势能为0,求质量为m的卫星在地球表面时的引力势能.(忽略空气阻力的影响)

答案:
解析:

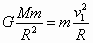
根据万有引力定律及匀速圆周运动公式,有

卫星从地球表面飞离地球的过程中,总机械能守恒,即,

再代入v2=v1的条件,可得


练习册系列答案
相关题目

违法和不良信息举报电话:027-86699610 举报邮箱:58377363@163.com

精英家教网