题目内容
如图,从地面上方某点,将一小球以5m/s的初速度沿水平方向抛出.小球经过1s落地.不计空气阻力,g=10m/s2.则1)小球抛出时离地面的高度是多少?
2)小球从抛出点到落地点的水平位移大小是多少?
3)小球落地时的速度大小是多少?
【答案】分析:(1)小球抛出时离地面的高度h,可以根据h=
求出;
(2)小球从抛出点到落地点的水平位移可以根据x=vt求解;
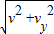
(3)小球落地时候的速度可根据v=
求解.
解答:解:(1)小球竖直方向做自由落体运动,根据h=
得:h=5m;
(2)小球水平方向做自由落体运动,根据x=vt得:x=5m;
(3)小球落地的速度v=
,vy=gt,联立方程解得:v=5
m/s.
答:(1)小球抛出时离地面的高度是5m;(2)小球从抛出点到落地点的水平位移大小是5m;(3)小球落地时的速度大小是5
m/s.
点评:自由落体运动水平方向做匀速直线运动,竖直方向做自由落体运动,本题考查了平抛运动基本公式的应用,属于基础题型.
(2)小球从抛出点到落地点的水平位移可以根据x=vt求解;
(3)小球落地时候的速度可根据v=
解答:解:(1)小球竖直方向做自由落体运动,根据h=
(2)小球水平方向做自由落体运动,根据x=vt得:x=5m;
(3)小球落地的速度v=
答:(1)小球抛出时离地面的高度是5m;(2)小球从抛出点到落地点的水平位移大小是5m;(3)小球落地时的速度大小是5
点评:自由落体运动水平方向做匀速直线运动,竖直方向做自由落体运动,本题考查了平抛运动基本公式的应用,属于基础题型.
练习册系列答案
相关题目
| A、小球抛出时离地面的高度是10m | B、小球从抛出点到落地点的位移大小是10m | C、小球落地时的速度大小是15m/s | D、小球落地时的速度方向与水平地面成45°角 |