题目内容
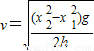
某同学做平抛实验时,只在纸上记下重垂线y方向,未在纸上记下斜槽末端位置,并只描出如图所示的一段平抛运动曲线,现在曲线上取A、B两点,用刻度尺分别量出到y的距离,AA′=x1,BB′=x2,以及AB的竖直距离h,从而求出小球被抛出时的初速度v为
A.
C.
【答案】分析:平抛运动在水平方向上做匀速直线运动,在竖直方向上做自由落体运动,设初速度为v,根据水平方向上的位移x1和x2,得出抛出点运动到A和B的时间,根据竖直方向上的距离差为h,求出初速度.
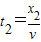
解答:解:设初速度为v,则从抛出点运动到A所需的时间
,从抛出点运动到B所需的时间
,在竖直方向上有:
,代入t1、t2,解得
.故A正确,B、C、D错误.
故选A.
点评:解决本题的关键掌握处理平抛运动的方法,平抛运动在水平方向上做匀速直线运动,在竖直方向上做自由落体运动.
解答:解:设初速度为v,则从抛出点运动到A所需的时间
故选A.
点评:解决本题的关键掌握处理平抛运动的方法,平抛运动在水平方向上做匀速直线运动,在竖直方向上做自由落体运动.
练习册系列答案
相关题目