题目内容
①A、B两点间电压?
②电场强度大小和方向?
【答案】分析:(1)微粒重力不计,只受电场力作用,根据动能定理求解A、B两点间电压.
(2)将微粒的运动分解为水平方向和竖直方向,竖直方向做匀速直线运动,水平方向做匀加速直线运动,分别列出两个方向的分位移,求出运动时间,再AB两点沿电场方向的距离,求解电场强度的大小和方向.
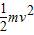
解答:解:(1)根据动能定理得
qUAB=
-
得,UAB=
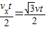
(2)微粒在B水平方向的分速度大小为vx=
设A、B间水平距离为x,竖直距离为y.
水平方向微粒做匀加速直线运动,则有:
x=
竖直方向微粒做匀速直线运动,则有
y=vt
又d2=x2+y2
联立上述三式得,t=
x=
=
则电场强度E=
=
,方向水平向左.
答:
①A、B两点间电压是
.
②电场强度大小是
,方向水平向左.
点评:本题是类平抛运动,采用运动的合成与分解法,要抓住两个分运动的等时性.中等难度.
(2)将微粒的运动分解为水平方向和竖直方向,竖直方向做匀速直线运动,水平方向做匀加速直线运动,分别列出两个方向的分位移,求出运动时间,再AB两点沿电场方向的距离,求解电场强度的大小和方向.
解答:解:(1)根据动能定理得
qUAB=
得,UAB=
(2)微粒在B水平方向的分速度大小为vx=
设A、B间水平距离为x,竖直距离为y.
水平方向微粒做匀加速直线运动,则有:
x=
竖直方向微粒做匀速直线运动,则有
y=vt
又d2=x2+y2
联立上述三式得,t=
x=
则电场强度E=
答:
①A、B两点间电压是
②电场强度大小是
点评:本题是类平抛运动,采用运动的合成与分解法,要抓住两个分运动的等时性.中等难度.
练习册系列答案
相关题目