题目内容
一静止的
核经
衰变成为
核,释放出的总动能为EK,此衰变后核的动能为
.
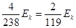
【答案】
![]()
【解析】
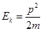
试题分析:新核与α粒子发生反冲,动量大小相等方向相反,根据动能与动量的关系
,可知动能之比应为质量的反比,总动能为Ek,则衰变后新核的动能为
。
考点:本题考查α衰变,动量守恒定律,动能与动量的关系。
练习册系列答案
相关题目