题目内容

一小圆盘静止在桌布上,位于一方桌的水平桌面的中央.桌布的一边与桌的AB边重合,如图.已知盘与桌布间的动摩擦因数为μ1,盘与桌面间的动摩擦因数为μ2.现突然以恒定加速度a将桌布抽离桌面,加速度方向是水平的且垂直于AB边.若圆盘最后未从桌面掉下,则加速度a满足的条件是什么?(以g表示重力加速度)

答案:
解析:

  解析:设圆盘的质量为m,桌长为l,在桌布从圆盘上抽出的过程中,盘的加速度为,有  ①

  桌布抽出后,盘在桌面上作匀减速运动,以a2表示加速度的大小,有  ②

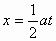
  设盘刚离开桌布时的速度为v1,移动的距离为x1,离开桌布后在桌面上再运动距离x2后便停下,有  ③

    ④

  盘没有从桌面上掉下的条件是  ⑤

  设桌布从盘下抽出所经历时间为t,在这段时间内桌布移动的距离为x,有  ⑥

    ⑦

  而  ⑧

  由以上各式解得  ⑨


练习册系列答案
相关题目

违法和不良信息举报电话:027-86699610 举报邮箱:58377363@163.com

精英家教网