题目内容
如图,在真空中有两个点电荷A和B,电荷量分别为-Q和+2Q,它们相距L,如果在两点电荷连线的中点O有一个半径为r(2r<L)的空心金属球,且球心位于O点,则球壳上的感应电荷在O点处的场强大小为 ,方向为 .( 填水平向左或水平向右)
【答案】分析:球壳是一个等势体,球内部电势为0.O点场强为0. 即球内感应电荷在O点产生的场强和A,B两电荷在O点的场强大小相等,方向相反.
解答:解:根据点电荷产生场强公式得:
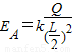
A在O点产生的场强为:
=
,方向水平向左;
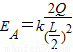
B点在O点产生的场强为:
=
,方向水向左,
所以AB在O点产生的场强之和为:E=
球壳是一个等势体,球内部电势为0.O点场强为0. 即球内感应电荷在O点产生的场强和A,B两电荷在O点的场强大小相等,方向相反.
所以球壳上的感应电荷在O点处的场强大小为
,方向水平向右.
故答案为:
;水平向右.
点评:本题主要考查了点电荷产生场强的场强公式及静电平衡的概念,难度适中.
解答:解:根据点电荷产生场强公式得:
A在O点产生的场强为:
B点在O点产生的场强为:
所以AB在O点产生的场强之和为:E=
球壳是一个等势体,球内部电势为0.O点场强为0. 即球内感应电荷在O点产生的场强和A,B两电荷在O点的场强大小相等,方向相反.
所以球壳上的感应电荷在O点处的场强大小为
故答案为:
点评:本题主要考查了点电荷产生场强的场强公式及静电平衡的概念,难度适中.
练习册系列答案
相关题目
如图,在真空中有两个等量正点电荷q1和q2,MN为它们连线的中垂线,M为无穷远,N为连线中点,现将一负点电荷q3由N点沿NM移动到M点的过程中![]()
| A.q3的电势能逐渐增大。 | B.q3受到的电场力逐渐减小。 |
| C.从N到M电势逐渐降低。 | D.电场力对q3不做功。 |