题目内容
如图所示,两个相对的斜面,倾角分别为37°和53°.在顶点把两个小球以同样大小的初速度分别为向左、向右水平抛出,小球都落在斜面上.若不计空气阻力,则A、B两个小球的运动时间之比为( )A.1:1
B.4:3
C.16:9
D.9:16
【答案】分析:两球都落在斜面上,位移上有限制,即竖直位移与水平位移的比值等于斜面倾角的正切值.
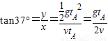
解答:解:对于A球有:
,解得:
.
同理对于B球有:
则
.故D正确,A、B、C错误.
故选D.
点评:解决本题的关键抓住平抛运动落在斜面上竖直方向上的位移和水平方向上的位移是定值.
解答:解:对于A球有:
同理对于B球有:
则
故选D.
点评:解决本题的关键抓住平抛运动落在斜面上竖直方向上的位移和水平方向上的位移是定值.
练习册系列答案
相关题目