题目内容
一颗质量为m,速度为v的子弹竖直向上射穿质量为M的木块后继续上升,子弹从射穿木块到再回到原木块处所经过的时间为T,那么当子弹射出木块后,木块上升的最大高度为多少?
【答案】分析:子弹从射穿木块后做竖直上抛运动,根据时间T求出子弹从射穿木块后的速度大小.子弹射穿木块的过程,遵守动量守恒,由动量守恒定律求出子弹从射穿木块后木块获得的速度,再求解木块上升的最大高度.
解答:解:子弹从射穿木块后做竖直上抛运动,则子弹从射穿木块后的速度大小为v1=g
.
该题中,子弹与木块的重力远小于子弹对木块的冲击力,所以子弹和木块组成的系统总动量守恒.得:
mv=Mv2+mv1
得到木块获得的速度v2=
=
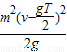
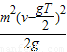
设木块上升的最大高度为h,
则有:木块v22=2gh得h=
=
答:木块上升的最大高度h=
.
点评:子弹打击木块类型与碰撞类似,属于外力远小于内力的情况,基本规律是动量守恒定律.基础题.
解答:解:子弹从射穿木块后做竖直上抛运动,则子弹从射穿木块后的速度大小为v1=g
该题中,子弹与木块的重力远小于子弹对木块的冲击力,所以子弹和木块组成的系统总动量守恒.得:
mv=Mv2+mv1
得到木块获得的速度v2=
设木块上升的最大高度为h,
则有:木块v22=2gh得h=
答:木块上升的最大高度h=
点评:子弹打击木块类型与碰撞类似,属于外力远小于内力的情况,基本规律是动量守恒定律.基础题.
练习册系列答案
相关题目