题目内容
汽车进站关闭发动机做匀减速直线运动,当滑行x1=300m时,速度恰好减为初速度的一半,接着又滑行了t2=20s才停止.求:汽车滑行的总时间t,关闭发动机时的速度vo和总位移x.
【答案】分析:设初速度为v,加速度为a,根据匀减速直线运动的基本公式联立方程即可求解.
解答:解:设初速度为v,加速度大小为a,则
速度恰好减为初速度的一半的过程中有:

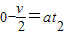
后一半过程中有:
带入数据解得:v=20m/s,a=-0.5m/s2,t1=20s
所以总时间t=t1+t2=40s
总位移为:
答:汽车滑行的总时间t为40s,闭发动机时的速度v为20m/s,总位移x为400m.
点评:该题主要考查了匀加速直线运动的基本公式,难度不大,属于中档题题.
解答:解:设初速度为v,加速度大小为a,则
速度恰好减为初速度的一半的过程中有:
后一半过程中有:
带入数据解得:v=20m/s,a=-0.5m/s2,t1=20s
所以总时间t=t1+t2=40s
总位移为:
答:汽车滑行的总时间t为40s,闭发动机时的速度v为20m/s,总位移x为400m.
点评:该题主要考查了匀加速直线运动的基本公式,难度不大,属于中档题题.
练习册系列答案
相关题目