题目内容
石块A自塔顶自由落下x1时,石块B自离塔顶x2处自由落下,两石块同时落地,则塔高为
[ ]
A.x1+x2
B.![]()
C.![]()
D.![]()
答案:D
解析:
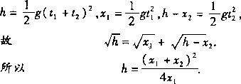
解析:
![]()
练习册系列答案
相关题目
两石块先后从某一高塔不同高度处下落,在石块A自塔顶自由落下h1后,石块B自离塔顶h2处自由下落.
若两石块同时落地,则塔高H为( )
若两石块同时落地,则塔高H为( )
| A、H=h1+h2 | ||||
B、H=
| ||||
C、H=
| ||||
D、H=
|