题目内容
一辆公共汽车进站后开始刹车,做匀减速直线运动直到停下.开始刹车后的第1s内和第2s内位移大小依次为8m和6m.下列说法中正确的是( )A.汽车在开始刹车后4s末停下
B.汽车在开始刹车后5s末停下
C.从开始刹车到停下,汽车的位移大小是20m
D.从开始刹车到停下,汽车的位移大小是20.25m
【答案】分析:根据某段时间内的位移之差是一恒量求出加速度,结合第1s内的位移求出初速度的大小,结合速度位移公式求出刹车到停止经过的位移.
解答:解:根据△x=aT2得,汽车的加速度a=
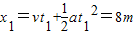
.根据
,代入数据解得,初速度v=9m/s.
则汽车开始刹车到停下所需的时间t=
.
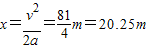
从开始刹车到停下,汽车的位移大小
.故D正确,A、B、C错误.
故选D.
点评:解决本题的关键掌握匀变速直线运动的运动学公式和推论,并能灵活运用.
解答:解:根据△x=aT2得,汽车的加速度a=
则汽车开始刹车到停下所需的时间t=
从开始刹车到停下,汽车的位移大小
故选D.
点评:解决本题的关键掌握匀变速直线运动的运动学公式和推论,并能灵活运用.
练习册系列答案
相关题目