题目内容
如图所示,同一竖直线的A,B两点固定有等量异种点电荷,电量为q,正负如图所示,△ABC为一等边三角形(边长为L),CD为AB边的中垂线,且与右侧竖直光滑1/4圆弧轨道的最低点C相切,已知圆弧的半径为R,现把质量为m带电量为+Q的小球(可视为质点)由圆弧的最高点M静止释放,到最低点C时速度为v0。已知静电力恒量为k,现取D为电势零点,求:
(1)在等量异种电荷A,B的电场中,M点的电势φM;
(2)在最低点C轨道对小球的支持力FN多大?
(1)在等量异种电荷A,B的电场中,M点的电势φM;
(2)在最低点C轨道对小球的支持力FN多大?
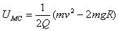
解:(1)小球由最高点M运动到C地过程中,由动能定理得
可得MC两点的电势差为
又等量异种电荷中垂线上的电势相等即C,D是等电势的,故M点的电势为
(2)+Q到达最低点C时,+q与-q对其的电场力F1,F2是大小相等的,有
又因为△ABC为一等边三角形,易知F1,F2的夹角是120°,所以二者的合力为
,且方向是竖直向下的
由牛顿运动定律得
整理得轨道对小球的支持力
可得MC两点的电势差为
又等量异种电荷中垂线上的电势相等即C,D是等电势的,故M点的电势为
(2)+Q到达最低点C时,+q与-q对其的电场力F1,F2是大小相等的,有
又因为△ABC为一等边三角形,易知F1,F2的夹角是120°,所以二者的合力为
由牛顿运动定律得
整理得轨道对小球的支持力
练习册系列答案
相关题目